The photos you provided may be used to improve Bing image processing services.
Privacy Policy
|
Terms of Use
Can't use this link. Check that your link starts with 'http://' or 'https://' to try again.
Unable to process this search. Please try a different image or keywords.
Try Visual Search
Search, identify objects and text, translate, or solve problems using an image
Drag one or more images here,
upload an image
or
open camera
Drop images here to start your search
To use Visual Search, enable the camera in this browser
All
Search
Images
Inspiration
Create
Collections
Videos
Maps
News
More
Shopping
Flights
Travel
Notebook
Top suggestions for Using First Principles Derivative OS Sin X
Differentiation
Using First Principle
Derivative by
First Principle
Derivative of
Sin X Using First Principle
First Principle Derivative
Questions
How to Find
First Derivative
First Principle
of Derivative Formula
First Principle
of Calculus
First Principle
Derivation
First Principle
Method of Derivative
Derivative Using First Principle
with a Fraction
Ln
X Derivative
First Derivative
Meaning
Deriative
First Principle
First Derivative
of Function
Deriving
Using First Principle
Second Derivative
of Absolute Value
Finding
First Derivative
Derivative of Sin
1 X
Derive
Using First Principles
Derivative by First Principle
Example
First Principle
Calculation
Sin
Cos Derivative
Partial
Derivative First Principle
Differentiate Sinx by
First Principle
Solving
First Derivative
Formula for
First Derivative
Square Root
Derivative
Differentiating Sinx
Using First Principle
What Is the
Derivative of 1/X
Derivative
Equation
First Derivative
Is Zero
Derivative
Function Examples
Derivative
to Original Function
Finding Gradient
Using First Principle
First Principle
Derivitave EQ
Prove
First Principle Derivative
Chat From
Derivative First Principle
First
Vertical Derivative
Derivative
Proof
Sin
2X Derivative
Rational Function
Derivative
First Derivative
Test Examples
Derivative of Tanx by
First Principle
First Derivative
Problems
Differentiantion Sing
First Principle
Derivative
of Ex
Diriving
Using First Principles
Standard
Derivatives
Derivative of X
Factorial
1st Principle
of Derivative
Autoplay all GIFs
Change autoplay and other image settings here
Autoplay all GIFs
Flip the switch to turn them on
Autoplay GIFs
Image size
All
Small
Medium
Large
Extra large
At least... *
Customized Width
x
Customized Height
px
Please enter a number for Width and Height
Color
All
Color only
Black & white
Type
All
Photograph
Clipart
Line drawing
Animated GIF
Transparent
Layout
All
Square
Wide
Tall
People
All
Just faces
Head & shoulders
Date
All
Past 24 hours
Past week
Past month
Past year
License
All
All Creative Commons
Public domain
Free to share and use
Free to share and use commercially
Free to modify, share, and use
Free to modify, share, and use commercially
Learn more
Clear filters
SafeSearch:
Moderate
Strict
Moderate (default)
Off
Filter
Differentiation
Using First Principle
Derivative by
First Principle
Derivative of
Sin X Using First Principle
First Principle Derivative
Questions
How to Find
First Derivative
First Principle
of Derivative Formula
First Principle
of Calculus
First Principle
Derivation
First Principle
Method of Derivative
Derivative Using First Principle
with a Fraction
Ln
X Derivative
First Derivative
Meaning
Deriative
First Principle
First Derivative
of Function
Deriving
Using First Principle
Second Derivative
of Absolute Value
Finding
First Derivative
Derivative of Sin
1 X
Derive
Using First Principles
Derivative by First Principle
Example
First Principle
Calculation
Sin
Cos Derivative
Partial
Derivative First Principle
Differentiate Sinx by
First Principle
Solving
First Derivative
Formula for
First Derivative
Square Root
Derivative
Differentiating Sinx
Using First Principle
What Is the
Derivative of 1/X
Derivative
Equation
First Derivative
Is Zero
Derivative
Function Examples
Derivative
to Original Function
Finding Gradient
Using First Principle
First Principle
Derivitave EQ
Prove
First Principle Derivative
Chat From
Derivative First Principle
First
Vertical Derivative
Derivative
Proof
Sin
2X Derivative
Rational Function
Derivative
First Derivative
Test Examples
Derivative of Tanx by
First Principle
First Derivative
Problems
Differentiantion Sing
First Principle
Derivative
of Ex
Diriving
Using First Principles
Standard
Derivatives
Derivative of X
Factorial
1st Principle
of Derivative
768×1024
scribd.com
From First Principles: Proof of Derivative …
768×432
epsilonify.com
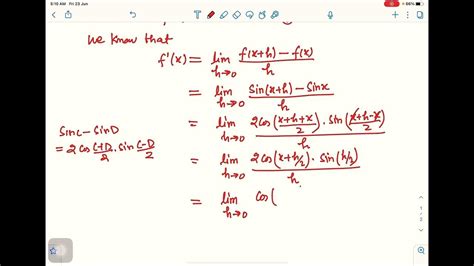
Derivative of sin(x) using First Principle of Derivatives - Epsilonify
931×1019
gauthmath.com
Solved: Find the derivative of sin x from first principl…
1260×709
epsilonify.com
Derivative of x using First Principle of Derivatives - [Full proof]
Related Products
Calculus Textbook
Mathematical Analysis Book
Calculus Workbook
945×945
teachoo.com
Find derivative by first principle f(x) = sin x + …
945×945
teachoo.com
Find derivative by first principle f(x) = sin x + …
945×945
teachoo.com
Find derivative by first principle f(x) = sin x + …
1232×641
chegg.com
Solved 1. Find, from first principles, the first derivative | Chegg.com
916×582
chegg.com
Solved (a) By the first principles of differentiation, find | Chegg.com
945×945
teachoo.com
Example 16 - Compute derivative of sin x usin…
945×945
teachoo.com
Example 16 - Compute derivative of sin x usin…
633×690
onlinemath4all.com
Derivative of Sinx Using First Principle
545×389
shaalaa.com
Find the Derivative of Cos X from First Principle. - Mathematics | Sha…
832×400
askfilo.com
22. a) Find from first principles, the derivative of sin(lnx).b) Find th..
1260×709
epsilonify.com
Derivative of Hyperbolic Sine using First Principle of Derivatives - [FU…
838×1024
yawin.in
Find the derivative of (…
1056×1571
askfilo.com
[Solved] Find the derivative of f(…
1280×720
storage.googleapis.com
Derivative Of Cos X 1 By First Principle at Kimberly Borges blog
961×1557
storage.googleapis.com
Derivative Of Cos X 1 By Fir…
750×750
teachoo.com
Ex 12.2, 10 - Find derivative of cos x from first principl…
1280×720
storage.googleapis.com
Derivative Of Cos(X^2+1) By First Principle at Isabella Lansell blog
1206×685
mathsathome.com
How to Differentiate by First Principles – mathsathome.com
1207×685
mathsathome.com
How to Differentiate by First Principles – mathsathome.com
1208×685
mathsathome.com
How to Differentiate by First Principles – mathsathome.com
1158×653
mathsathome.com
How to Differentiate by First Principles – mathsathome.com
1024×434
askfilo.com
17. Find from first principlé the derivative of sin(lnx) 18. Using simple..
1024×438
askfilo.com
Find the derivative (using first principle) of (i) sinx (ii) cosx (iii) s..
1200×1629
studocu.com
Lesson 1 - The Derivative fro…
1237×2021
yawin.in
Find the derivative of si…
471×838
sawaal.com
Derivative of sinx by first pri…
1280×720
www.youtube.com
Find the derivative of f(x) = Sinx by first principle. - YouTube
1500×542
chegg.com
Solved By using the first principle (definition) of | Chegg.com
1080×1080
linkedin.com
Ioteach on LinkedIn: How do we differenti…
1280×720
rdsic.edu.vn
First Principles: Khám Phá Nguyên Lý Cơ Bản và Ứng Dụng Thực Tiễn
1280×720
www.youtube.com
#derivative, || Find the derivative of sin x by using first principle of derivative. - YouTube
Some results have been hidden because they may be inaccessible to you.
Show inaccessible results
Report an inappropriate content
Please select one of the options below.
Not Relevant
Offensive
Adult
Child Sexual Abuse
Feedback