The photos you provided may be used to improve Bing image processing services.
Privacy Policy
|
Terms of Use
Can't use this link. Check that your link starts with 'http://' or 'https://' to try again.
Unable to process this search. Please try a different image or keywords.
Try Visual Search
Search, identify objects and text, translate, or solve problems using an image
Drag one or more images here,
upload an image
or
open camera
Drop images here to start your search
To use Visual Search, enable the camera in this browser
All
Search
Images
Inspiration
Create
Collections
Videos
Maps
News
More
Shopping
Flights
Travel
Notebook
Top suggestions for Deriving Tanx Using First Principle
Tanx
Derivative by First Principle
Derivative of Sin
Using First Principle
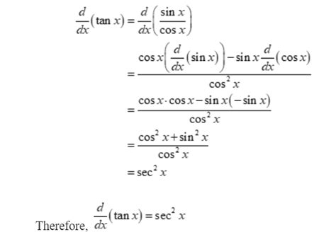
Derivative of Tan X
Using First Principle
Find Derivative of
Tanx by First Principle
Find Derivative of Sinx by
First Principle
Cotx Derivative by
First Principle
Differentiate Tan X
Using First Principle
Differenctiation Calculus
First Principle
Derivative Calulcator
First Principle
Deriving
Sin X
Differentiation From First Principle
Sin X
All Derivatives
Using First Principal
Differentiate Tan From
First Principles
Differntiate Root X by
First Principle
Cosec X Derivative by
First Principle
Derivative of Root Cosec X by
First Principle
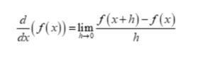
Limits and Derivatives
First Principle
Tanx First
Robotics
Differintaiote Tanx
From First Principles
First Principles
a Level Maths
Cos X
First Principles
First Principle
SEC X
Differentiation of Tan X by
First Principle Proff
Prove From
First Principles Sinx
Derivative of Tan
Using Product Rule
Derivitie of
Tanx
First Principle
of Derivative Equation
Differentiate Tan X From First Principle
Use Small Angles Approximation
Derivation of E From
First Principles Using Algebra
First
Derivitive Pricniple with Coefficients
Derivative of
Tanx by First Principle
First Principles
Maths
Derivative of Cosec X
Using First Principle
Find the Derivative of Sinx
Using First Principle
Find the Derivative of
Tanx Using First Principle Method
First Principles
Differentiation Sinx
First Principles
Derivative
Differentiate Tanx
From First Principles
First Principles
Formula for Tanx
Find the Tangent
Using First Principle
Derivative of
Tanx List
Tanx
Differentiatied
Derive From
First Principles
First Principles
Differentiation of X Cubed
Derivative of Xtanx by 1st
Principle
Sinx to COSC From
First Principle
Deriving Tanx
Proving From
First Principles
Proof by Foirst
Principles Cos X
Furst Principle
Maths
Explore more searches like Deriving Tanx Using First Principle
Maclaurin
Series
Function
Graph
Taylor
Series
Sin
Cos
Sin
2s
Inverse
Graph
Sinx
Cosx
Power
Series
Log
1
People interested in Deriving Tanx Using First Principle also searched for
Different
Types
Quadratic
Equation
Gradient Spherical
Coordinates
Centripetal
Acceleration
Quadratic Formula
Standard Form
Solving
Equations
Supply
Curve
Short Run Supply
Curve
Range
Equation
OLS
Estimator
Motion
Equations
Laplace
Transform
Log
Math
Physics
Equations
Kinematic Equations
Calculus
Exponential
Function
Summation
Formulas
Kinetic Energy
Equation
Demand
Curve
Equation
Ellipse
Aggregate Demand
Curve
Values
Method
Kinematic 5th
Equations
Eru
Diagram
Product
Power
Equation
Parabpla
Triangle
AA
Curve
Using Formulae
Year 7
Using
Formulae
Thhe
Quadratic
Joule SI
Units
Autoplay all GIFs
Change autoplay and other image settings here
Autoplay all GIFs
Flip the switch to turn them on
Autoplay GIFs
Image size
All
Small
Medium
Large
Extra large
At least... *
Customized Width
x
Customized Height
px
Please enter a number for Width and Height
Color
All
Color only
Black & white
Type
All
Photograph
Clipart
Line drawing
Animated GIF
Transparent
Layout
All
Square
Wide
Tall
People
All
Just faces
Head & shoulders
Date
All
Past 24 hours
Past week
Past month
Past year
License
All
All Creative Commons
Public domain
Free to share and use
Free to share and use commercially
Free to modify, share, and use
Free to modify, share, and use commercially
Learn more
Clear filters
SafeSearch:
Moderate
Strict
Moderate (default)
Off
Filter
Tanx
Derivative by First Principle
Derivative of Sin
Using First Principle
Derivative of Tan X
Using First Principle
Find Derivative of
Tanx by First Principle
Find Derivative of Sinx by
First Principle
Cotx Derivative by
First Principle
Differentiate Tan X
Using First Principle
Differenctiation Calculus
First Principle
Derivative Calulcator
First Principle
Deriving
Sin X
Differentiation From First Principle
Sin X
All Derivatives
Using First Principal
Differentiate Tan From
First Principles
Differntiate Root X by
First Principle
Cosec X Derivative by
First Principle
Derivative of Root Cosec X by
First Principle
Limits and Derivatives
First Principle
Tanx First
Robotics
Differintaiote Tanx
From First Principles
First Principles
a Level Maths
Cos X
First Principles
First Principle
SEC X
Differentiation of Tan X by
First Principle Proff
Prove From
First Principles Sinx
Derivative of Tan
Using Product Rule
Derivitie of
Tanx
First Principle
of Derivative Equation
Differentiate Tan X From First Principle
Use Small Angles Approximation
Derivation of E From
First Principles Using Algebra
First
Derivitive Pricniple with Coefficients
Derivative of
Tanx by First Principle
First Principles
Maths
Derivative of Cosec X
Using First Principle
Find the Derivative of Sinx
Using First Principle
Find the Derivative of
Tanx Using First Principle Method
First Principles
Differentiation Sinx
First Principles
Derivative
Differentiate Tanx
From First Principles
First Principles
Formula for Tanx
Find the Tangent
Using First Principle
Derivative of
Tanx List
Tanx
Differentiatied
Derive From
First Principles
First Principles
Differentiation of X Cubed
Derivative of Xtanx by 1st
Principle
Sinx to COSC From
First Principle
Deriving Tanx
Proving From
First Principles
Proof by Foirst
Principles Cos X
Furst Principle
Maths
1280×720
in.pinterest.com
Derivative of Tan(x) using First Principle Method
557×284
onlinemath4all.com
Derivative of Tanx by First Principle
634×408
imathist.com
Derivative of root tanx by First Principle - iMath
1125×1955
gauthmath.com
Solved: Find from first princi…
Related Products
Tanks
Tank Tops
Game
864×726
chegg.com
Solved 7. Find The derivative of tanx from the first | Chegg…
1280×720
fity.club
Derivado De Tanx Equações Diferenciais
300×86
infinitylearn.com
Derivative of tanx - using Chain Rule and Quotient Rule
1556×240
infinitylearn.com
Derivative of tanx - using Chain Rule and Quotient Rule
694×522
infinitylearn.com
Derivative of tanx - using Chain Rule and Quotient Rule
1556×244
infinitylearn.com
Derivative of tanx - using Chain Rule and Quotient Rule
Explore more searches like
Deriving
Tanx
Using First Principle
Maclaurin Series
Function Graph
Taylor Series
Sin Cos
Sin 2s
Inverse Graph
Sinx Cosx
Power Series
Log 1
577×409
infinitylearn.com
Derivative of tanx - using Chain Rule and Quotient Rule
300×248
infinitylearn.com
Derivative of tanx - using Chain Rule and Quotient …
1280×720
fity.club
Derivado De Tanx Equações Diferenciais
634×103
onlinemath4all.com
How to Find Derivatives Using First Principle
355×103
onlinemath4all.com
How to Find Derivatives Using First Principle
300×169
epsilonify.com
Derivative of tan(x) using First Principle of Deriv…
1024×2351
askfilo.com
Find the derivative of \t…
1024×438
askfilo.com
Find the derivative (using first principle) of (i) sinx (ii) cosx (iii) s..
536×355
imathist.com
Derivative of tan3x [ by First Principle] | tan3x Derivative - i…
1280×720
storage.googleapis.com
Derivative Of Cos(X^2+1) By First Principle at Isabella Lansell blog
804×552
imathist.com
Derivative of tan^2x by First Principle - iMath
1056×1571
askfilo.com
[Solved] Find the derivative of f(…
1024×224
askfilo.com
35. Find the derivative of tanx by first principle methodORFind the de..
960×540
askfilo.com
35. Find the derivative of tanx by first principle methodORFind the de..
1520×202
chegg.com
Solved 2a. Use the First Principle Method to determine the | Chegg.com
832×400
askfilo.com
ii) Find from the first principle the derivative of tanx with respect 10..
People interested in
Deriving
Tanx Using First Principle
also searched for
Different Types
Quadratic Equation
Gradient Spherical Co
…
Centripetal Acceleration
Quadratic Formula Stan
…
Solving Equations
Supply Curve
Short Run Supply Curve
Range Equation
OLS Estimator
Motion Equations
Laplace Transform
1806×254
chegg.com
Solved 3a. Use the First Principle Method to determine the | Chegg.com
1089×1600
coursehero.com
[Solved] Using first principles…
1280×720
www.youtube.com
Derivative of tanx from first principles - YouTube
480×360
www.youtube.com
Differentiate tanx using the first principle #calculus - YouTube
1280×720
www.youtube.com
FIND DERIVATIVES of Tan´x - -By Using FIRST PRINCIPLES || Solved problem…
1280×720
www.youtube.com
Derivative by First Principle of log tanx | Class 12 Mathematics Nepal - YouTube
480×360
www.youtube.com
Derivative of tanx using first principle - YouTube
8:26
www.youtube.com > Prime Newtons
Derivative of tan(x) from first principles (definition)
YouTube · Prime Newtons · 43.2K views · Oct 25, 2022
480×360
www.youtube.com
derive tanx using first principle - YouTube
Some results have been hidden because they may be inaccessible to you.
Show inaccessible results
Report an inappropriate content
Please select one of the options below.
Not Relevant
Offensive
Adult
Child Sexual Abuse
Feedback