The photos you provided may be used to improve Bing image processing services.
Privacy Policy
|
Terms of Use
Can't use this link. Check that your link starts with 'http://' or 'https://' to try again.
Unable to process this search. Please try a different image or keywords.
Try Visual Search
Search, identify objects and text, translate, or solve problems using an image
Drag one or more images here,
upload an image
or
open camera
Drop images here to start your search
To use Visual Search, enable the camera in this browser
All
Search
Images
Inspiration
Create
Collections
Videos
Maps
News
More
Shopping
Flights
Travel
Notebook
Top suggestions for Complex Variables Problem-Solver
Variable
Calculator
Indicated
Variable
Math Calculator
Solver
Solving Equations with
Variables
How to Solve 2
Variable Equations
Solving One
Variable Equations
Solving for
Variables
Variables
in an Equation
Algebra 1 Solving
Equations
5" Variable
K Map
Multi-Step Equations Worksheet PDF
Equations with Variables
On Both Sides
X and Y Table
Calculator
Linear Equations with One
Variable
How to Solve Equations with Two
Variables
Graphing Linear Equations
Calculator
System of Equations with Three
Variables
Solving Linear Equations
by Substitution
Equation Solver
Formula
Simultaneous Linear
Equations
How to Solve Systems of Equations
by Elimination
Find Variable
Calculator
Multiple Variable
Equation Solver
Solving for Unknown
Variables
Solving Literal
Equations
Karnaugh Map
Solver
Simulink
Solver
Function with Multiple
Equations
Triple System
of Equations
Quadratic
Variable
Explore more searches like Complex Variables Problem-Solver
Clip
Art
You
Are
Party
Logo
Line
Character
Data
Science
Project
Manager
Boss
Meme
Quotes About
Being
Chemistry
Vertical
How Be
Better
Expert
Images
God Is
ClipArt
Word
Gun
Become
Moog
8$
Good
Being
How Be
Active
3D
Are
You
Autoplay all GIFs
Change autoplay and other image settings here
Autoplay all GIFs
Flip the switch to turn them on
Autoplay GIFs
Image size
All
Small
Medium
Large
Extra large
At least... *
Customized Width
x
Customized Height
px
Please enter a number for Width and Height
Color
All
Color only
Black & white
Type
All
Photograph
Clipart
Line drawing
Animated GIF
Transparent
Layout
All
Square
Wide
Tall
People
All
Just faces
Head & shoulders
Date
All
Past 24 hours
Past week
Past month
Past year
License
All
All Creative Commons
Public domain
Free to share and use
Free to share and use commercially
Free to modify, share, and use
Free to modify, share, and use commercially
Learn more
Clear filters
SafeSearch:
Moderate
Strict
Moderate (default)
Off
Filter
Variable
Calculator
Indicated
Variable
Math Calculator
Solver
Solving Equations with
Variables
How to Solve 2
Variable Equations
Solving One
Variable Equations
Solving for
Variables
Variables
in an Equation
Algebra 1 Solving
Equations
5" Variable
K Map
Multi-Step Equations Worksheet PDF
Equations with Variables
On Both Sides
X and Y Table
Calculator
Linear Equations with One
Variable
How to Solve Equations with Two
Variables
Graphing Linear Equations
Calculator
System of Equations with Three
Variables
Solving Linear Equations
by Substitution
Equation Solver
Formula
Simultaneous Linear
Equations
How to Solve Systems of Equations
by Elimination
Find Variable
Calculator
Multiple Variable
Equation Solver
Solving for Unknown
Variables
Solving Literal
Equations
Karnaugh Map
Solver
Simulink
Solver
Function with Multiple
Equations
Triple System
of Equations
Quadratic
Variable
768×1024
scribd.com
Complex Variables New | PDF
318×468
www.goodreads.com
Complex Variables Problem Solver b…
372×500
numerade.com
Solutions for Complex Variables Demystifi…
1024×768
SlideServe
PPT - Complex Variables PowerPoint Presentation, free download - ID:5579143
Related Products
Problem Solver Book
Problem Solver Mug
Sudoku Problem Solver Game
640×480
slideshare.net
Complex variables | PPTX
768×994
studylib.net
Complex Variables
1280×1656
docsity.com
Complex Variables - Homework Proble…
320×272
ocw.mit.edu
Syllabus | Complex Variables with Applications | Mathematics | MIT …
1280×1656
docsity.com
Complex Variables - Homework Problem…
768×1024
scribd.com
Tutorial 1 (B) Complex Varia…
600×602
researchgate.net
Analysis of complex combinations of soluti…
1021×1500
amazon.com
Amazon.com: Complex Varia…
626×352
freepik.com
Premium AI Image | Exploring Complex Variables in Mathematics
1024×209
chegg.com
Solved This question is for complex variables. | Chegg.com
Explore more searches like
Complex Variables
Problem-Solver
Clip Art
You Are
Party Logo
Line Character
Data Science
Project Manager
Boss Meme
Quotes About Being
Chemistry
Vertical
How Be Better
Expert
626×626
freepik.com
Premium Photo | Unraveling Variables in …
638×479
SlideShare
Mathematics and History of Complex Variables
320×160
ocw.mit.edu
Lecture Notes | Topics in Several Complex Variables | Mathematic…
1620×552
chegg.com
Solved Complex variables exercises: Problem i: Find complex | Chegg.com
1620×912
studypool.com
SOLUTION: Calculus of complex variables from topper - Studypool
1620×912
studypool.com
SOLUTION: Calculus of complex variables from topper - Studypool
626×626
freepik.com
Premium Photo | Calculating Variables to Solve a Comp…
850×1100
researchgate.net
(PDF) The Several Complex Variable…
700×469
chegg.com
Solved Complex Variables: Complex Numbers Problem 1 S…
626×626
freepik.com
Premium Photo | Solving Complex E…
1280×1811
docsity.com
5 Solved Problems on C…
1424×990
chegg.com
Solved INTEGRATION IN COMPLEX VARIABLES, Solv…
1024×188
chegg.com
Solved Problem 4. Functions of complex variables Solve the | Chegg.com
1075×282
chegg.com
Solved Help! Please solve the following Complex Variables | Chegg.com
1916×979
chegg.com
Solved Question about Intro to Complex Variables. Please | Chegg.com
492×90
chegg.com
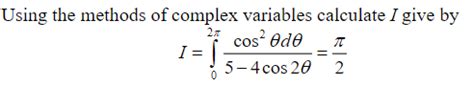
Solved Using the methods of complex variables calculate I | Chegg.com
525×700
chegg.com
Solved Solve the following compl…
1409×155
chegg.com
Solved This problem is about Complex Variables. Please solve | Chegg.com
1024×357
chegg.com
Solved Complex Variables, find the values of the following | Chegg.com
768×994
studylib.net
Complex Variables I PROBLEM SE…
730×200
chegg.com
Solved Math 404 - Complex VariablesProblem 5. Evaluate | Chegg.com
Some results have been hidden because they may be inaccessible to you.
Show inaccessible results
Report an inappropriate content
Please select one of the options below.
Not Relevant
Offensive
Adult
Child Sexual Abuse
Feedback