The photos you provided may be used to improve Bing image processing services.
Privacy Policy
|
Terms of Use
Can't use this link. Check that your link starts with 'http://' or 'https://' to try again.
Unable to process this search. Please try a different image or keywords.
Try Visual Search
Search, identify objects and text, translate, or solve problems using an image
Drag one or more images here,
upload an image
or
open camera
Drop images here to start your search
To use Visual Search, enable the camera in this browser
All
Search
Images
Inspiration
Create
Collections
Videos
Maps
News
More
Shopping
Flights
Travel
Notebook
Top suggestions for Integration Practice Problems
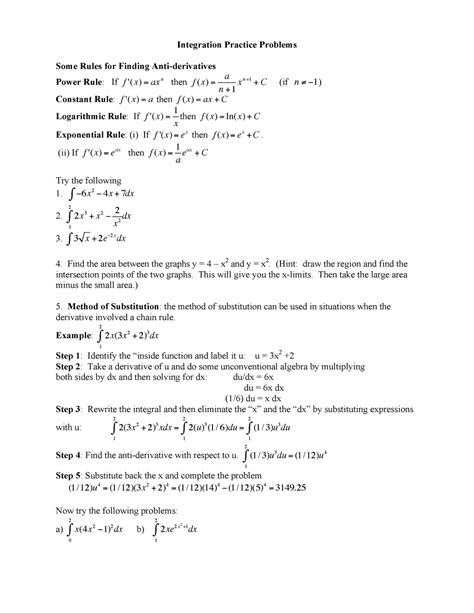
Integral
Practice Problems
Basic
Integration Problems
Integration Practice
Solving Problems
Calculus
5
Integration
Word Problems
Calculus Example
Problems
Integration Problems
Application
U Sub
Integration Practice Problems
Integral Sample
Problems
Calculus
Solutions
Calculus Integration
Questions
Basic Integration
Worksheet
Integration Practice Problems
with Answers
Calculus I
Practice Problems
Where to Find Calculus
Integration Practice Problems
U-Substitution
Practice Problems
Double Integral
Practice Problems
AP Calculus
Worksheets
Indefinite Integral
Practice Problems
Integration
Formulas
Differentiation and
Integration Practice Problems
Basic Integrals
Practice
Calculus 2
Integration Practice
Basic Integration
Rules Practice Problem
Techniques of
Integration Practice Problems
Calc 2 Integral
Practice
Integration Practice Problems
Easy
Substitution Rule
Practice Problems
Definite Intergral
Practice Problems
Integral Test
Problems
Partial
Integration
Integration
Vector
Calculus Cheat
Sheet PDF
AP Calculus Formula
Sheet
Inverse Trig
Substitution
Integration Practice Problems
Set
Integration Practice Problems
Calc 3
Integration Problems
of Love
Integration Practice Problem
Advanced
Integration Bridge
Problems Problems
Area of Integration
Khan Academy Practice Problems
Integral Calculus
Examples
Integration Practice
Answer Key
Practice Problems
with Key of Integration by Parts
Integration
Solved Examples
Multiple Integrals
Practice Problems
Good
Integration Problem
Interation
Practice
Chain
Rule
Exponential Function
Integration Practice Problems
Refine your search for Integration Practice Problems
Calc
3
Exponential
Function
Electric
Field
Explore more searches like Integration Practice Problems
Answer
Key
Life
Application
Rearrange
Order
AP Calculus
AB
Clinical
Area
For Signals
Systems
Recognition
Computer
Sheet Class 11 Mathematics
Tools PDF
Exponential
Functions
People interested in Integration Practice Problems also searched for
Boolean
Algebra
Work Kinetic
Energy
AP
Statistics
Calc 2
Volume
Combination
Circuit
Pythagorean Theorem
8th Grade
Chi-Square
Electrical
Circuit
Sign
Chart
Solving Literal
Equations
Literal
Equations
AP
Chemistry
Problem
Solving
Balance
Sheet
Solution
Chemistry
Analytical
Chemistry
Implicit
Differentiation
English
1
Basic
Math
Punnett
Square
Related
Rates
High School
Math
Find
Focus
Quadratic
Formula
Caslpo
CETP
Lesson
12
Mole
Ratio
Riemann
Sum
FOIL
Method
Semester
1
Lesson
1
Dosage
Calculations
Physical
Chemistry
Lesson
16
Le Chatelier
Principle
Enthalpy
Calculator
Reactions
HTML
Algebra
Printable
Power
AP Biology
Chi-Square
Calc 1
Derivative
WorkPower
For
Genetics
Ph
Medical
Math
PFT
Physics
Work
Fe
Autoplay all GIFs
Change autoplay and other image settings here
Autoplay all GIFs
Flip the switch to turn them on
Autoplay GIFs
Image size
All
Small
Medium
Large
Extra large
At least... *
Customized Width
x
Customized Height
px
Please enter a number for Width and Height
Color
All
Color only
Black & white
Type
All
Photograph
Clipart
Line drawing
Animated GIF
Transparent
Layout
All
Square
Wide
Tall
People
All
Just faces
Head & shoulders
Date
All
Past 24 hours
Past week
Past month
Past year
License
All
All Creative Commons
Public domain
Free to share and use
Free to share and use commercially
Free to modify, share, and use
Free to modify, share, and use commercially
Learn more
Clear filters
SafeSearch:
Moderate
Strict
Moderate (default)
Off
Filter
Integral
Practice Problems
Basic
Integration Problems
Integration Practice
Solving Problems
Calculus
5
Integration
Word Problems
Calculus Example
Problems
Integration Problems
Application
U Sub
Integration Practice Problems
Integral Sample
Problems
Calculus
Solutions
Calculus Integration
Questions
Basic Integration
Worksheet
Integration Practice Problems
with Answers
Calculus I
Practice Problems
Where to Find Calculus
Integration Practice Problems
U-Substitution
Practice Problems
Double Integral
Practice Problems
AP Calculus
Worksheets
Indefinite Integral
Practice Problems
Integration
Formulas
Differentiation and
Integration Practice Problems
Basic Integrals
Practice
Calculus 2
Integration Practice
Basic Integration
Rules Practice Problem
Techniques of
Integration Practice Problems
Calc 2 Integral
Practice
Integration Practice Problems
Easy
Substitution Rule
Practice Problems
Definite Intergral
Practice Problems
Integral Test
Problems
Partial
Integration
Integration
Vector
Calculus Cheat
Sheet PDF
AP Calculus Formula
Sheet
Inverse Trig
Substitution
Integration Practice Problems
Set
Integration Practice Problems
Calc 3
Integration Problems
of Love
Integration Practice Problem
Advanced
Integration Bridge
Problems Problems
Area of Integration
Khan Academy Practice Problems
Integral Calculus
Examples
Integration Practice
Answer Key
Practice Problems
with Key of Integration by Parts
Integration
Solved Examples
Multiple Integrals
Practice Problems
Good
Integration Problem
Interation
Practice
Chain
Rule
Exponential Function
Integration Practice Problems
768×1024
scribd.com
Integration Practice | PDF | Equations | Ordinary Differe…
768×1024
scribd.com
Integration Practice Problems | PDF
Related Searches
Integration Practice Problems
Calc
3
Exponential
Function
Integration Practice Problems
Electric
Field
Integration Practice Problems
Integration Practice
Answer
Key
482×567
onlinemath4all.com
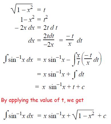
Practice Problems on Integration by Parts
Related Searches
Integration
Life
Application
Practice
Rearrange
Order
of
Integration Practice
AP
Calculus
AB
Integration Practice
Boolean
Algebra
Practice Problems
180×234
coursehero.com
basic integration practice problem set.pdf - AP Calcul…
750×750
www.teacherspayteachers.com
Integration by Parts Practice Problems with Answer Key …
Related Searches
Work
and
Kinetic
Energy
Practice Problems
AP
Statistics
Practice Problems
Calc
2
Volume
Practice Problems
Clinical
Practice Integration
768×1024
scribd.com
36 Integration Practice Worksheet | PDF
768×1024
scribd.com
Practice Problems: Integration by Parts (Solutions) | PDF | …
1140×1288
study.com
Quiz & Worksheet - Calculus Integration Problems | Study…
768×1024
scribd.com
Practice Problems On Multiple Integration | PDF
1620×2217
studypool.com
SOLUTION: Practice problems on Integration By Parts - Stu…
1620×2291
studypool.com
SOLUTION: Applications of Integration - Practice Proble…
1280×1811
docsity.com
Practice integration questions with solutions | Assignment…
768×1024
scribd.com
Basic Integration Problems Solutions | PDF
768×1024
scribd.com
Integration Practice Problems | PDF | Fraction (Mathematic…
1240×1754
studypool.com
SOLUTION: Definite integration practice problem…
1240×1754
studypool.com
SOLUTION: Indefinite integration practice problem…
1620×2222
studypool.com
SOLUTION: Practice problems on Integration by Substitutio…
845×429
chegg.com
Solved Be sure to practice integration by part for proble…
1620×2292
studypool.com
SOLUTION: Integration practice questions answers …
2048×2650
slideshare.net
Basic Integration Problems Mathematics Calculus.pdf
768×1024
scribd.com
Practice Problems | PDF | Integral | Area
350×350
www.teacherspayteachers.com
Integration Practice Problems by Calculus and Chai | TPT
350×350
www.teacherspayteachers.com
Integration Practice Problems by Calculus and Chai | TPT
1240×1754
studypool.com
SOLUTION: Definite integration practice problem…
1620×2288
studypool.com
SOLUTION: Practice problems on Integration By Parts - Stu…
1240×1754
studypool.com
SOLUTION: Integration Formulas and Solved Practi…
1620×2291
studypool.com
SOLUTION: Integration problems - Studypool
768×1024
scribd.com
Basic Integration Questions for Practice | PDF | Mathematics
350×350
www.teacherspayteachers.com
Integration Practice Problems by Calculus and Chai | TPT
350×350
www.teacherspayteachers.com
Integration Practice Problems by Calculus and Chai | TPT
180×234
coursehero.com
Integration Practice Problems solns.pdf - MATH 128: Calc…
389×433
onlinemath4all.com
Practice Problems on Integration by Parts
1620×2507
studypool.com
SOLUTION: Practice problems on Integration by Substitutio…
1200×1553
studocu.com
Integration Practice Problems - (ii) If f '( x )= eax then f ( x …
1275×1650
studypool.com
SOLUTION: Integration practice questions math calc…
Some results have been hidden because they may be inaccessible to you.
Show inaccessible results
Report an inappropriate content
Please select one of the options below.
Not Relevant
Offensive
Adult
Child Sexual Abuse
Feedback