The photos you provided may be used to improve Bing image processing services.
Privacy Policy
|
Terms of Use
Can't use this link. Check that your link starts with 'http://' or 'https://' to try again.
Unable to process this search. Please try a different image or keywords.
Try Visual Search
Search, identify objects and text, translate, or solve problems using an image
Drag one or more images here,
upload an image
or
open camera
Drop images here to start your search
To use Visual Search, enable the camera in this browser
All
Search
Images
Inspiration
Create
Collections
Videos
Maps
News
More
Shopping
Flights
Travel
Notebook
Top suggestions for How Ro Solve Arbitrary Function
How to Solve
Rational Functions
How to Solve
Linear Functions
Solving Linear
Functions
Solving Inverse
Functions
How to Solve
Logarithms
How to Solve
Composite Functions
How to Solve
Inverse Trig Functions
How to Solve
Math Equations
How to Solve
Piecewise Functions
How to Solve
Equations with Fractions
Functions
Examples Solve
How to Solve
Exponential Functions
Functional
Equations
Solve
Polynomial
How to Solve
for X Equation
Solve
One Step Equations
MATLAB Solve
Equation
How to Solve
Algebraic Equations
How Do I
Solve Rational Functions
Linear Function
Problem Examples
Solving One Variable
Equations
How to Solve Piecewise Functions
with Multiple Variables
How to Solve
2 Step Equations
Solving Log
Equations
Algebra 1 Solving
Equations
Solve
Quadratic Inequalities
Solving Quadratics
by Graphing
Solve
Radical Equations
How to Solve
Equations with Exponents
Solving Trigonometric
Equations
Solve
System of Equations
Absolute Value
Function Equation
How to Solve
Piecewise Functions Calculus
Function Composition How
to Solve
Mathematica
Solve
Factoring and Solving
Quadratics
Piecewise Function
Questions
Solve
Fraction Equation
Functions How to Solve
If There's Just a Number and No X
Solve Rational Functions
4 Variables
Solving Function
Tables
Piecewise Defined
Function
How
to so Love Rational Functions
Steps in Solving Rational
Functions
Solving Systems of Equations
by Elimination
Subtracting Rational
Function
Solving Linear Equations
Worksheets
How to Solve
for K in Piecewise Function
How to Solve
Equations Using Elimination
How to Solve
Rational Function General Mathematics
Explore more searches like How Ro Solve Arbitrary Function
Linear
Equations
Cubic
Equation
2 Step
Equations
Simultaneous
Equations
Or
Equation
Magic
Cube
Chemical
Equation
It Book
PDF
Number
Puzzles
Cubic Equation
Formula
Number
Puzzle
It Book
Cover
It
Book
Autoplay all GIFs
Change autoplay and other image settings here
Autoplay all GIFs
Flip the switch to turn them on
Autoplay GIFs
Image size
All
Small
Medium
Large
Extra large
At least... *
Customized Width
x
Customized Height
px
Please enter a number for Width and Height
Color
All
Color only
Black & white
Type
All
Photograph
Clipart
Line drawing
Animated GIF
Transparent
Layout
All
Square
Wide
Tall
People
All
Just faces
Head & shoulders
Date
All
Past 24 hours
Past week
Past month
Past year
License
All
All Creative Commons
Public domain
Free to share and use
Free to share and use commercially
Free to modify, share, and use
Free to modify, share, and use commercially
Learn more
Clear filters
SafeSearch:
Moderate
Strict
Moderate (default)
Off
Filter
How to Solve
Rational Functions
How to Solve
Linear Functions
Solving Linear
Functions
Solving Inverse
Functions
How to Solve
Logarithms
How to Solve
Composite Functions
How to Solve
Inverse Trig Functions
How to Solve
Math Equations
How to Solve
Piecewise Functions
How to Solve
Equations with Fractions
Functions
Examples Solve
How to Solve
Exponential Functions
Functional
Equations
Solve
Polynomial
How to Solve
for X Equation
Solve
One Step Equations
MATLAB Solve
Equation
How to Solve
Algebraic Equations
How Do I
Solve Rational Functions
Linear Function
Problem Examples
Solving One Variable
Equations
How to Solve Piecewise Functions
with Multiple Variables
How to Solve
2 Step Equations
Solving Log
Equations
Algebra 1 Solving
Equations
Solve
Quadratic Inequalities
Solving Quadratics
by Graphing
Solve
Radical Equations
How to Solve
Equations with Exponents
Solving Trigonometric
Equations
Solve
System of Equations
Absolute Value
Function Equation
How to Solve
Piecewise Functions Calculus
Function Composition How
to Solve
Mathematica
Solve
Factoring and Solving
Quadratics
Piecewise Function
Questions
Solve
Fraction Equation
Functions How to Solve
If There's Just a Number and No X
Solve Rational Functions
4 Variables
Solving Function
Tables
Piecewise Defined
Function
How
to so Love Rational Functions
Steps in Solving Rational
Functions
Solving Systems of Equations
by Elimination
Subtracting Rational
Function
Solving Linear Equations
Worksheets
How to Solve
for K in Piecewise Function
How to Solve
Equations Using Elimination
How to Solve
Rational Function General Mathematics
768×1024
scribd.com
Arbitrary Constant and I…
773×353
tiktextips.weebly.com
Arbitrary function
697×311
chegg.com
Solved For an arbitrary function f, solve the following | Chegg.com
650×402
chegg.com
Write a function M-file that will solve an arbitrary | Chegg.com
Related Products
Robot Vacuum Cleaners
To Train Your Dragon DVD
Roomba Robot Vacuums
406×91
www.qsl.net
Arbitrary Function
688×500
indiamart.com
Arbitrary Function Generators at best price in Coimbatore by S…
2448×3264
Stack Exchange
Differential Equation of Ar…
640×400
observablehq.com
Drawing an arbitrary function with adaptive sampling / Daniel Gavrilov ...
514×390
researchgate.net
For an arbitrary function f , the operator ∆ captures the tota…
1706×808
chegg.com
Solved Check all the statements about an arbitrary function | Chegg.com
480×296
mathematica.stackexchange.com
string manipulation - Generating arbitrary equations to pass to NDSo…
480×239
askfilo.com
ro c is arbitrary constant of integration which is the required solu Exam..
Explore more searches like
How
Ro
Solve
Arbitrary Function
Linear Equations
Cubic Equation
2 Step Equations
Simultaneous Equations
Or Equation
Magic Cube
Chemical Equation
It Book PDF
Number Puzzles
Cubic Equation Formula
Number Puzzle
It Book Cover
1024×273
askfilo.com
ro c is arbitrary constant of integration which is the required solu Exam..
1005×524
chegg.com
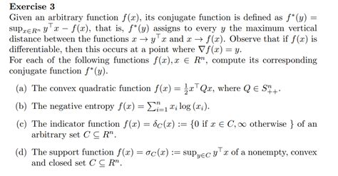
Solved Exercise 3 Given an arbitrary function f(x), its | Chegg.com
749×572
researchgate.net
An arbitrary example of a set of functionsˆqfunctions…
700×318
chegg.com
Solved Solve the system in terms of the arbitrary variable | Chegg.com
320×320
researchgate.net
An arbitrary function used to illustrate the different …
700×158
chegg.com
Solved Solve the system in terms of the arbitrary variable | Chegg.com
193×183
researchgate.net
An arbitrary function used to illustrate th…
1884×617
chegg.com
Solved Solve the system in terms of the arbitrary variable | Chegg.com
700×623
chegg.com
Solved Solve the system in terms of the arbitrary vari…
710×457
chegg.com
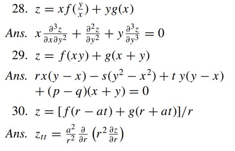
Solved Eliminate the arbitrary functions and obtain partial | Chegg.com
850×664
researchgate.net
The graph of an arbitrary function (Assignment 8). | Do…
814×114
chegg.com
Solved Problem 5: Re-solve problem 1 for any arbitrary | Chegg.com
850×850
ResearchGate
Example of an arbitrary function an…
1282×248
chegg.com
Solved Eliminate arbitrary function from the given equation | Chegg.com
1397×289
chegg.com
Solved Eliminate arbitrary function from the given equation | Chegg.com
908×214
chegg.com
Solved 1. (a) Eliminate the arbitrary function and hence | Chegg.com
700×435
chegg.com
Solve the system in terms of the arbitrary variable | Chegg.com
700×384
chegg.com
Solve the system in terms of the arbitrary variable | Chegg.com
1024×474
numerade.com
⏩SOLVED:Sketch the graph of an arbitrary function f that satisfies ...
1024×576
chegg.com
Solved For an arbitrary function f, find the general | Chegg.com
1426×476
chegg.com
Solved Problem 8(a) For an arbitrary wave function Ψ(x,t), | Chegg.com
568×292
chegg.com
Solved Exercise 1: Design an Arbitrary Function. (1.A) | Chegg.com
873×322
chegg.com
Solved Exercise 1: Design an Arbitrary Function. (1.A) | Chegg.com
Some results have been hidden because they may be inaccessible to you.
Show inaccessible results
Report an inappropriate content
Please select one of the options below.
Not Relevant
Offensive
Adult
Child Sexual Abuse
Feedback